Türkiye Otomobil ve Hafif Ticari Araç Pazarı 2025 Yılında Rekor Seviyede Kapandı
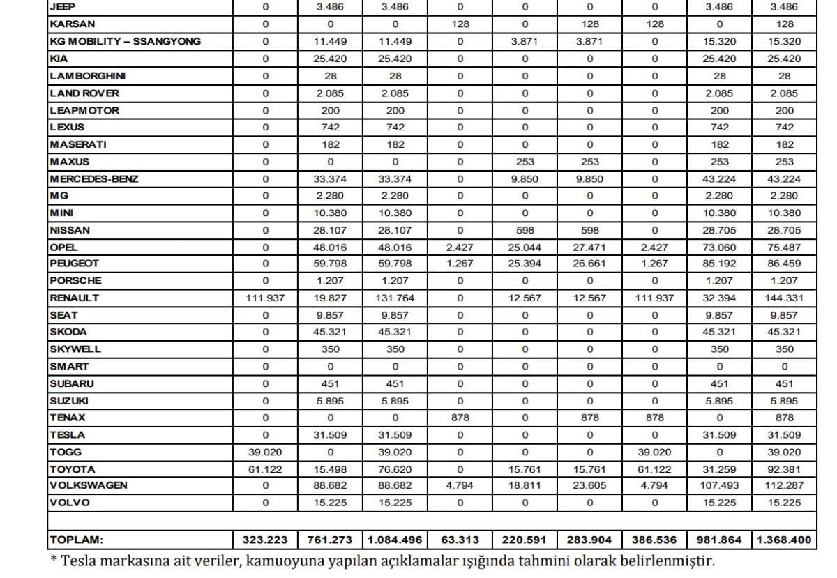
Otomotiv Distribütörleri ve Mobilite Derneği, sektörde büyük heyecan uyandıran 2025 yılı pazar verilerini paylaştı. Yayınlanan rapora göre, toplam pazar geçen yıla göre %10,49 artarak 1 milyon 368 bin 400 adede ulaştı.
Bu satış rakamlarının 1 milyon 084 bin 496’sını otomobiller, 283 bin 904’ünü ise hafif ticari araçlar oluşturdu.
Aralık Ayında Satışlar Yükseldi
Yıl sonu kampanyalarının etkisiyle Aralık ayında pazar %12,55 oranında büyüyerek 191 bin 620 adede yükseldi. Otomobil satışları 146 bin 319 adet iken, hafif ticari araç satışları %27,83 artışla 45 bin 301’e ulaştı.

SUV Modelleri Yine Lider
Gövde tipi tercihlerinde SUV modelleri, %61,9 pazar payı ve 671 bin 819 adetlik satış ile liderliği korudu. C segmenti modeller ise satılan araçların %55’ini oluşturarak önemli bir yerde yer aldı.
Elektrikli ve Hibrit Araçlar Tercih Ediliyor
Motor tercihlerinde benzinli araçlar hala popülerliğini korurken, hibrit modeller %27,2 pazar payına ulaştı. Elektrikli araçlar 191 bin 960 adetlik satışla üçüncü sırada yer alırken, dizel araçların payı %7,4 seviyesinde kaldı.
“Gelecek Yıllarda 1.5 Milyon Satış Bekleniyor”
ODMD Başkanı Ali Haydar Bozkurt, otomobil ve hafif ticari araç pazarını değerlendirerek, 2025 yılında 42 milyar dolarlık bir ihracat gerçekleştirildiğini belirtti. Bozkurt, heyecan verici bir yılın ardından 1,5 milyon adetlik pazar seviyesinin ilerleyen dönemlerde görülebileceğini vurguladı.





